Gobierno Nacional realizó el quinto giro de recursos ordinarios para el PAE por más de $207 mil millones

En las cuentas maestras de las Entidades Territoriales Certificadas en Educación ETC (gobernaciones y alcaldías) ya se encuentra disponible el dinero correspondiente al quinto giro de los recursos ordinarios del 2023, para que ejecuten el Programa de Alimentación Escolar PAE. Los recursos aprobados en la adición presupuestal y asignados por $250 mil millones a 52 ETC para cofinanciar la ejecución el PAE hasta el final del calendario académico se girarán en octubre. Una vez se giren los recursos adicionales,
  • En las cuentas maestras de las Entidades Territoriales Certificadas en Educación ETC (gobernaciones y alcaldías) ya se encuentra disponible el dinero correspondiente al quinto giro de los recursos ordinarios del 2023, para que ejecuten el Programa de Alimentación Escolar PAE.
  • Los recursos aprobados en la adición presupuestal y asignados por $250 mil millones a 52 ETC para cofinanciar la ejecución el PAE hasta el final del calendario académico se girarán en octubre.
  • Una vez se giren los recursos adicionales, el Gobierno Nacional habrá dispuesto el monto más alto para el PAE, por $1,5 billones.
  • Actualmente más de 5,3 millones de niños, niñas, adolescentes y jóvenes están recibiendo el complemento alimentario del PAE, en más de 43 mil sedes educativas oficiales en todo el territorio nacional.
  • Se presenta suspensión del PAE en 27 municipios del departamento de Córdoba, en la ciudad de Montería y en el municipio de Pitalito y de manera parcial están afectados los beneficiarios de 19 municipios del departamento de Cauca y algunas instituciones de Amazonas, afectando a cerca de 260 mil estudiantes.

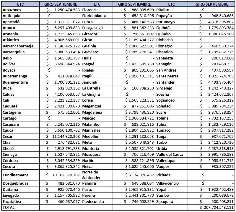
Esta semana, la Unidad de Alimentos para Aprender (UApA) realizó el quinto giro por $207.704.543.111, correspondiente a recursos del Presupuesto General de la Nación a las Entidades Territoriales Certificadas en Educación (ETC) para la ejecución del Programa de Alimentación Escolar (PAE). Giro que sumado a los cuatro ya realizados en los meses de   enero, marzo, mayo y julio, suman $1.248.347.443.484 que ha girado el Gobierno Nacional a través del Ministerio de Educación y la Unidad Alimentos para Aprender.

Los recursos de la adición presupuestal que fueron aprobados por el Congreso de la República por $250 mil millones y que fueron asignados a 52 ETC para cofinanciar la continuidad y culminación del calendario escolar, ampliar la cobertura del Programa y atender en receso escolar (PAE+) en regiones priorizadas, se girarán en octubre de acuerdo con Plan Anualizado de Caja del Ministerio de Hacienda, lo que permitirá una inversión total para 2023 superior a los $1,5 billones ($1.543.046.004.583), para las 97 Entidades Territoriales Certificadas en Educación ETC (gobernaciones y alcaldías) que ejecutan el Programa.

“En el Plan Nacional de Desarrollo 2022-2026 ‘Colombia potencia mundial de la vida’ el PAE es uno de los elementos clave y está contemplado en dos de los cinco ejes de transformación: Seguridad Humana y Justicia Social y Derecho Humano a la alimentación. Es por eso por lo que, desde el Gobierno Nacional, no solo con este pago se cumplen las disposiciones pactadas con las 97 gobernaciones y alcaldías que ejecutan el PAE, sino que también con los recursos dispuestos con la adición presupuestal, se alcanza el mayor presupuesto para este Programa en toda su historia”, indicó Luis Fernando Correa, Director de la Unidad Alimentos para Aprender.

Y agregó: “Desde el Gobierno Nacional hemos venido cumpliendo oportunamente con el giro de los recursos que cofinancian el PAE en Colombia. En enero se giraron $249.669.488.699, en marzo $282.988.548.716, mayo $271.850.121.322, julio $236.134.741.636 y ahora en septiembre cumplimos los compromisos inicialmente pactados en septiembre con $207.704.543.111”, explicó Correa Serna.

Recursos quinto giro a las ETC para el PAE
 

El Programa de Alimentación Escolar es cofinanciado por el Gobierno Nacional y las 97 Entidades Territoriales Certificadas en Educación, que destinan recursos de su presupuesto a través de fuentes como el Sistema General de Participaciones (SGP) o del Sistema General de Regalías (SGR) para lograr la atención de los más de 5,8 millones de niños, niñas, jóvenes beneficiarios del PAE, de acuerdo con la priorización que realice cada ETC. Su ejecución es descentralizada y ejecutada por las alcaldías y gobernaciones bajo los lineamientos, estándares y condiciones definidas por la UApA.
 

“Los esfuerzos gubernamentales están orientados al aumento gradual de cobertura del Programa para llegar, en 2026, al 95% de beneficiarios de la matricula oficial del país. Además, cubrir periodos en receso escolar en municipios priorizados, y fortalecer el proceso de transición para que más niños reciban comida preparada en sitio o comida caliente transportada”, concluyó Luis Fernando Correa Serna, director de la Unidad de Alimentos para Aprender.

Estado actual de la Operación del PAE

De acuerdo con el Informe de Operación del Programa de Alimentación Escolar (INOP), que emite la Unidad Alimentos para Aprender UApA del Ministerio de Educación, actualmente más de 5,3 millones de niños, niñas, adolescentes y jóvenes están recibiendo el complemento alimentario del PAE, en más de 43 mil sedes educativas oficiales en todo el territorio nacional.

De acuerdo con dicho informe periódico, de los 1.103 municipios del país en los que se ejecuta el PAE,   en 48 municipios persiste la no entrega del complemento alimentario  debido a suspensiones en los contratos del Programa, afectando a 260 mil niños, niñas, adolescentes y jóvenes. Se trata de  27 municipios no certificados en educación de Córdoba el municipio de Pitalito y la ciudad de Montería  y de manera parcial  19 municipios de Cauca y en algunas instituciones educativas de Amazonas.

Córdoba:  La atención de PAE se suspendió desde el 30 de mayo de 2023 afectando a 156.690 estudiantes. Con la aprobación de OCAD Caribe del proyecto de regalías para ejecución del PAE, está pendiente la resolución de aprobación, con lo cual iniciará proceso de licitación pública para atender a la población mayoritaria del Departamento.

Pitalito:  Actualmente se están afectando 11.785 estudiantes. La entidad adelanta proceso de contratación por Bolsa Mercantil (cuenta con comisionista), por lo cual la prestación del servicio se estaría retomando en el mes de septiembre.

Montería:  De acuerdo con el reporte de la entidad, la operación del PAE llegó hasta el 5 de septiembre, dejando de prestar el servicio a 42.265 estudiantes. Adelantan proceso de licitación pública No. LP-SEM-018-2023. Según SECOP II, se proyecta adjudicar el contrato el 3 de octubre de 2023.

Operación parcial:

Cauca:  Desde el 28 de agosto se reactivó atención en los municipios de la zona Sur y Pacifico, pero para la Zona 3 - macizo, que representa 8 municipios y 11.356 estudiantes, la Gobernación adicionó al contrato de otra zona, el cual está en proceso de alistamiento; para la Zona 4 – norte con 11 municipios y 33.538 estudiantes, se adjudicó el 18 de septiembre, está en trámite de legalización. Para los dos casos se proyecta reactivar atención finalizando septiembre.

Amazonas : Desde el 15 de septiembre se suspendió en 12 instituciones educativas, afectando a 4.775 beneficiarios y en las próximas semanas pueden suspenderse en otras dos instituciones que afectarían a 2.348 beneficiarios.

INFORME DE OPERACIÓN DEL PROGRAMA DE ALIMENTACIÓN ESCOLAR - INOP

El informe elaborado por la Unidad Alimentos para Aprender, tiene como objeto consolidar periódicamente el estado de la operación del Programa de Alimentación Escolar – PAE, con base en los reportes de las 97 Entidades Territoriales Certificadas en Educación – ETC que ejecutan el Programa, en el marco del seguimiento realizado por la Unidad adscrita al Ministerio de Educación Nacional.

La información descrita corresponde a la fecha de corte mencionada en el texto, la cual puede cambiar por las dinámicas propias de la operación del PAE en cada uno de los territorios.

En las cuentas maestras de las Entidades Territoriales Certificadas en Educación ETC (gobernaciones y alcaldías) ya se encuentra disponible el dinero correspondiente al quinto giro de los recursos ordinarios del 2023, para que ejecuten el Programa de Alimentación Escolar PAE. Los recursos aprobados en la adición presupuestal y asignados por $250 mil millones a 52 ETC para cofinanciar la ejecución el PAE hasta el final del calendario académico se girarán en octubre. Una vez se giren los recursos adicionales,
En las cuentas maestras de las Entidades Territoriales Certificadas en Educación ETC (gobernaciones y alcaldías) ya se encuentra disponible el dinero correspondiente al quinto giro de los recursos ordinarios del 2023, para que ejecuten el Programa de Alimentación Escolar PAE. Los recursos aprobados en la adición presupuestal y asignados por $250 mil millones a 52 ETC para cofinanciar la ejecución el PAE hasta el final del calendario académico se girarán en octubre. Una vez se giren los recursos adicionales,